ESSEN阀门执行器-为您提供行业资讯-控制阀Cv、Kv和C的换算及详尽推导过程
德国埃森(ESSEN)阀门有限公司是欧洲著名工业流体阀门生产商,是一家集工业流体阀门及ESSEN气动执行器,ESSEN电动执行器、ESSEN执行器,的设计、研发、实验、销售于一体的综合性集团公司。公司成立于1958年,总部位于德国老牌工业区鲁尔工业区埃森市,生产工厂位于德国本土及其他国家,并在全球多个国家和地区设有销售和服务机构。
不同单位制的控制阀流量系数(Cv、Kv和C)都是控制阀在固定压差下,单位时间内控制阀全开流通水的体积,Cv、Kv和C存在Cv=1.156Kv,Cv=1.167C的关系。本文分享Cv、Kv和C三者的定义、单位、换算及详尽推导过程。
1、流量系数的定义
控制阀流通能力是指特定流体在特定温度下,当阀两端为单位压差时,单位时间内流经控制阀的流体体积数,采用不同单位制时有不同表达方式。
①流量系数C的定义
给定行程下,温度为5-40℃的水, 阀两端压差为1kgf/cm2时,每小时流经调节阀的体积(以m3表示)。C是流量系数的通用 符,我国过去曾长期使用,以前称流通能力C。
②流量系数Kv的定义
给定行程下,阀两端压差为102kPa时,温度为5-40℃的水,每小时流经调节阀的体积(以m3表示)。Kv是国际单位制流量系数。
③流量系数Cv的定义
给定行程下,阀两端压差为1lb/in2时,温度为60℉的水,每分钟流经调节阀的体积(以美国加仑U.S gal表示)。Cv是英制流量系数。
2、不同单位制公式推导
①流通能力C计算公式及单位
当γ/γ0=1,Q=1m3/h,△P=1kgf/cm2时,如C定义为1,则N=1。则流通能力C的公式及单位如下:
公式中C为流通能力;Q单位为m3/h;γ/γ0为比重;△P单位为kgf/cm2。
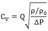
②流量系数Cv计算公式及单位
当ρ/ρ0=1,Q=1USgal/min,△P=1lb/in2,如定义Cv=1,则N=1。则流量系数Cv的公式及单位如下:
其中Cv为流量系数;Q单位为USgal/min;ρ/ρ0为比密度;△P单位为lb/in2。
③流量系数Kv计算公式及单位
当ρ/ρ0=1,Q=1m3/h,△P=100kPa时,若Kv=1,则N=0.1。则流量系数Kv的公式及单位如下:
其中Kv为流量系数;Q单位为m3/h;ρ/ρ0为比密度;△P单位为kPa。
3、流通能力C、流量系数Kv、流量系数Cv的换算
①流量系数Cv与流通能力C的关系
从
式中知:Q单位为USgal/min;ρ/ρ0为比密度;△P单位为lb/in2。
当C=1时,Q=1m3/h,γ/γ0=1(即ρ/ρ0=1),△P=1kgf/cm2时,用C=1的条件代入Cv计算公式则为:
从计算结果得知:C=1与Cv=1.167是等值的(即Cv=1.167C)。
②Cv与Kv的换算
当Kv=1时,Q=1m3/h,ρ/ρ0=1,△P=100kPa代入Cv计算公式,进行单位换算:
即Kv=1与Cv=1.156是等值的(即Cv=1.156Kv)。
由于有些资料和样本中对控制阀流通能力C、流量系数Kv和流量系统Cv三者缺少推导过程,使用中容易产生混淆。昌晖仪表对C、Kv、Cv从定义、单位应用及三者的关系方面予以澄清,帮助工程设计人员在调节阀选型计算过程中,对不同表达方式流量系数(C、Kv、Cv)进行换算和比较,便于进行调节阀的比选。
0531-82894696
essenvalve@163.com
